欢迎访问河南交通职业技术学院信息公开网站!
网站首页
信息公开指南
信息公开目录
信息公开栏目
学校概况
制度规划
教学管理
招生就业
人事师资
科研管理
学风建设
学生管理
财务资产
基建管理
基金管理
国际合作
后勤保障
监督工作
其他事项
依申请公开
申请流程
申请表下载
结果反馈
信息公开年度报告
信息公开规章制度
当前位置:
网站首页
>>
信息公开栏目
>>
招生就业
>>
招生公告
>> 正文
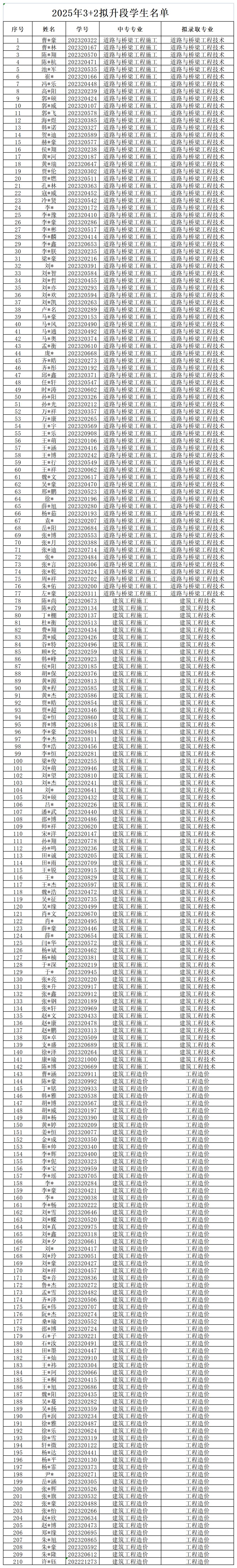
2025年3+2拟升段学生名单
发布者:
[发表时间]:2026-03-10
[来源]:
[浏览次数]:
拟录取名单公示期:2026年3月10日-14日。公示期间,如对拟录取结果有异议,请拨打学院招生咨询电话: 0371-60868271/60868272。